C String 指定文字 以降



C言語 Sprintfの使い方 複数の変数から文字列を作り出す方法

C言語 Sprintfの使い方 複数の変数から文字列を作り出す方法

C言語 Sprintfの使い方 複数の変数から文字列を作り出す方法

C言語 Sprintfの使い方 複数の変数から文字列を作り出す方法

C言語 Sprintfの使い方 複数の変数から文字列を作り出す方法

C言語 Sprintfの使い方 複数の変数から文字列を作り出す方法

Indexofによる文字列検索で 指定した文字数以降の文字列を検索する C プログラミング

Indexofによる文字列検索で 指定した文字数以降の文字列を検索する C プログラミング

C言語 Sprintfの使い方 複数の変数から文字列を作り出す方法

C言語 Sprintfの使い方 複数の変数から文字列を作り出す方法

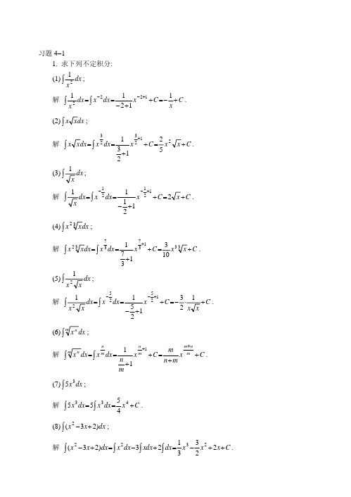
课后习题第六章 Tt睡不醒la的个人空间 Oschina

课后习题第六章 Tt睡不醒la的个人空间 Oschina

课后习题第六章 Tt睡不醒la的个人空间 Oschina

Python元组的内容怎么输出到txt上 Python入门基础带你从入门到精通 月明朗的博客 Csdn博客

Python元组的内容怎么输出到txt上 Python入门基础带你从入门到精通 月明朗的博客 Csdn博客

Indexofによる文字列検索で 指定した文字数以降の文字列を検索する C プログラミング

Indexofによる文字列検索で 指定した文字数以降の文字列を検索する C プログラミング

Visual C における文字コード変換 C と色々

Visual C における文字コード変換 C と色々

C言語 Sprintfの使い方 複数の変数から文字列を作り出す方法

C言語 Sprintfの使い方 複数の変数から文字列を作り出す方法

C 发生了webexception 远程服务器返回错误 400 错误的请求 Csdn论坛

C 发生了webexception 远程服务器返回错误 400 错误的请求 Csdn论坛

2

2

テキストファイルの内容を簡単に読み込むには C Vb Net 2 0以降 Net Tips It

テキストファイルの内容を簡単に読み込むには C Vb Net 2 0以降 Net Tips It

Uriの 以降に でつなげたクエリー文字列を生成する Qiita

Uriの 以降に でつなげたクエリー文字列を生成する Qiita

Indexofによる文字列検索で 指定した文字数以降の文字列を検索する C プログラミング

Indexofによる文字列検索で 指定した文字数以降の文字列を検索する C プログラミング

C で 指定文字列以降の削除についてこんにちは 現在c で Yahoo 知恵袋

C で 指定文字列以降の削除についてこんにちは 現在c で Yahoo 知恵袋

Python元组的内容怎么输出到txt上 Python入门基础带你从入门到精通 月明朗的博客 Csdn博客

Python元组的内容怎么输出到txt上 Python入门基础带你从入门到精通 月明朗的博客 Csdn博客

C言語 Sprintfの使い方 複数の変数から文字列を作り出す方法

C言語 Sprintfの使い方 複数の変数から文字列を作り出す方法

Table Of Contents 简介简介欢迎使用搜索 Pdf Free Download

Table Of Contents 简介简介欢迎使用搜索 Pdf Free Download

Http 118 122 142 36 8081 Web Downfile Aspx Id 49373

Http 118 122 142 36 8081 Web Downfile Aspx Id 49373

C Primer Plus 第五版 课后编程练习答案 完整 百度文库

C Primer Plus 第五版 课后编程练习答案 完整 百度文库

C 指定した文字が初めて現れる位置以降の部分文字列を取得 おらほview

C 指定した文字が初めて現れる位置以降の部分文字列を取得 おらほview

C Primer Plus 第五版 课后编程练习答案 完整 百度文库

C Primer Plus 第五版 课后编程练习答案 完整 百度文库

C String文字列から指定箇所を切り出す方法 String Substring を使った方法 ジョブログlife

C String文字列から指定箇所を切り出す方法 String Substring を使った方法 ジョブログlife

Source : pinterest.com